Bloom Filter是一种空间效率很高的随机数据结构,它利用位数组很简洁地表示一个集合,并能判断一个元素是否属于这个集合。Bloom Filter的这种高效是有一定代价的:在判断一个元素是否属于某个集合时,有可能会把不属于这个集合的元素误认为属于这个集合(false positive)。因此,Bloom Filter不适合那些“零错误”的应用场合。而在能容忍低错误率的应用场合下,Bloom Filter通过极少的错误换取了存储空间的极大节省。
Bloom Filter是由Bloom在1970年提出的一种多哈希函数映射的快速查找算法。通常应用在一些需要快速判断某个元素是否属于集合,但是并不严格要求100%正确的场合。
适用场景
- 黑名单
- 爬虫重复URL检测
- 字典纠缠
- 磁盘文件检测
- CDN(squid)代理缓存技术
以爬虫重复URL举例:
假设要你写一个网络蜘蛛(web crawler)。由于网络间的链接错综复杂,蜘蛛在网络间爬行很可能会形成“环”。为了避免形成“环”,就需要知道蜘蛛已经访问过那些URL。给一个URL,怎样知道蜘蛛是否已经访问过呢?稍微想想,就会有如下几种方案:
将访问过的URL保存到数据库。
用HashSet将访问过的URL保存起来。那只需接近O(1)的代价就可以查到一个URL是否被访问过了。
URL经过MD5或SHA-1等单向哈希后再保存到HashSet或数据库。
Bit-Map方法。建立一个BitSet,将每个URL经过一个哈希函数映射到某一位。
方法1~3都是将访问过的URL完整保存,方法4则只标记URL的一个映射位。
以上方法在数据量较小的情况下都能完美解决问题,但是当数据量变得非常庞大时问题就来了。
方法1的缺点:数据量变得非常庞大后关系型数据库查询的效率会变得很低。而且每来一个URL就启动一次数据库查询是不是太小题大做了?
方法2的缺点:太消耗内存。随着URL的增多,占用的内存会越来越多。就算只有1亿个URL,每个URL只算50个字符,就需要5GB内存。
方法3:由于字符串经过MD5处理后的信息摘要长度只有128Bit,SHA-1处理后也只有160Bit,因此方法3比方法2节省了好几倍的内存。
方法4消耗内存是相对较少的,但缺点是单一哈希函数发生冲突的概率太高。还记得数据结构课上学过的Hash表冲突的各种解决方法么?若要降低冲突发生的概率到1%,就要将BitSet的长度设置为URL个数的100倍。
实质上上面的算法都忽略了一个重要的隐含条件:允许小概率的出错,不一定要100%准确!也就是说少量url实际上没有没网络蜘蛛访问,而将它们错判为已访问的代价是很小的——大不了少抓几个网页呗
Bloom Filter 算法
方法四的致命缺点是冲突概率高,为了降低冲突的概念,Bloom Filter使用了多个哈希函数,而不是一个。
Bloom Filter算法如下:
创建一个m位BitSet,先将所有位初始化为0,然后选择k个不同的哈希函数。第i个哈希函数对字符串str哈希的结果记为h(i,str),且h(i,str)的范围是0到m-1 。

图1.初始化时,Bloom Filter是一个包含m位的位数组,每一位都置为0
加入元素过程
下面是每个元素处理的过程,首先是将元素str“记录”到BitSet中的过程:
对于元素str,分别计算h(1,str),h(2,str)…… h(k,str)。然后将BitSet的第h(1,str)、h(2,str)…… h(k,str)位设为1。原先为1的保持为1,为0设置为1

图2.Bloom Filter加入字符串过程,将字符串映射到BitSet中K个二进制位了
检查元素串是否属于集合的过程
对于元素str,分别计算对str进行k次哈希函数,h(1,str),h(2,str)…… h(k,str)。如果BitSet的第h(1,str)、h(2,str)…… h(k,str)位都是1,则可以认为str 是集合中的元素。

图3.Bloom Filter加入检测是否包含过程;y1 不属于,y2属于(存在false positive情况)
伪代码
1 | public class BloomFilter{ |
那么问题来了,bloom filter 的错误率如何估算?哈希函数个数如何计算?位数组的初始大小如何计算?
错误率估算 && 最优的哈希函数个数 && 位数组的大小
计算过程参考
既然Bloom Filter要靠多个哈希函数将集合映射到位数组中,那么应该选择几个哈希函数才能使元素查询时的错误率降到最低呢?这里有两个互斥的理由:如果哈希函数的个数多,那么在对一个不属于集合的元素进行查询时得到0的概率就大;但另一方面,如果哈希函数的个数少,那么位数组中的0就多。
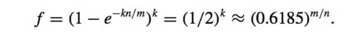
哈希函数个数k、位数组大小m、加入元素数量n的关系可以参考Bloom Filters - the math。该文献证明了对于给定的m、n,当 k = ln(2)* m/n 时出错的概率是最小的。

图4.错误率公式
看不懂公式的见这里(T.T)!:
一般在 位数组给到 集合的 10倍时,k 选7个hash函数,错误率在 0.00819 左右;其他倍数、和错误率的对应关系可以参考Bloom Filters - the math给的对应表格

图5.部分对应关系表
总结
在计算机科学中,我们常常会碰到时间换空间或者空间换时间的情况,即为了达到某一个方面的最优而牺牲另一个方面。Bloom Filter在时间空间这两个因素之外又引入了另一个因素:错误率。在使用Bloom Filter判断一个元素是否属于某个集合时,会有一定的错误率。也就是说,有可能把不属于这个集合的元素误认为属于这个集合(False Positive),但不会把属于这个集合的元素误认为不属于这个集合(False Negative)。在增加了错误率这个因素之后,Bloom Filter通过允许少量的错误来节省大量的存储空间。
下篇翻译下: bloom filter 的实现过程已经非常简单了,唯一的计算在于伪随机散列函数的计算上;google guava 里面的bloom过滤器源码里面提到如何用更少的Hashing计算实现同样效果,具体见 Adam Kirsch and Michael的论文 Less Hashing, Same Performance:Building a Better Bloom Filter
附简单的java实现
1 | package cn.ifengkou.algorithm.bloomFilter; |